Thanh Hóa được giao hoàn thành 11.503 căn nhà ở xã hội giai đoạn 2025-2030
Chính phủ vừa ban hành Nghị quyết số 07/NQ-CP ngày 12/1/2026 về việc giao chỉ tiêu phát triển nhà ở xã hội cho các địa phương giai đoạn 2026-2030.

Ảnh minh họa.
Số lượng dự án đã hoàn thành, khởi công, chấp thuận chủ trương đầu tư đến năm 2025 đạt 62%
Phát triển nhà ở xã hội cho người dân đã được Đảng, Nhà nước xác định là quyết tâm chính trị, là nhiệm vụ quan trọng của Đảng và cả hệ thống chính trị, thể hiện đặc trưng, bản chất tốt đẹp của chế độ ta; là một trong những nhiệm vụ trọng tâm cần ưu tiên trong phát triển kinh tế - xã hội của đất nước.
Trong thời gian qua, Chính phủ, Thủ tướng Chính phủ đã quyết liệt chỉ đạo và triển khai nhiều nhiệm vụ cụ thể, quyết liệt nhằm tháo gỡ khó khăn, thúc đẩy phát triển nhà ở xã hội.
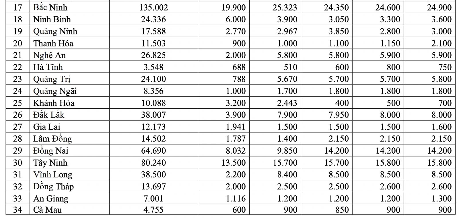
Lũy kế đến hết tháng 12 năm 2025, cả nước có 698 dự án nhà ở xã hội đang được triển khai với quy mô 657.441 căn, trong đó: 193 dự án hoàn thành, quy mô 169.143 căn; 200 dự án đã khởi công xây dựng, đang triển khai với quy mô 134.111 căn (trong đó năm 2025 khởi công mới 90 dự án với quy mô 95.630 căn, đã hoàn thành 102.633/100.275 căn (đạt 102%); 305 dự án được chấp thuận chủ trương đầu tư, quy mô 354.187 căn.
Như vậy, số lượng dự án đã hoàn thành, khởi công, chấp thuận chủ trương đầu tư đến năm 2025 đạt 62% so với chỉ tiêu đã đặt ra tại Đề án “Đầu tư xây dựng ít nhất 01 triệu căn hộ nhà ở xã hội cho đối tượng thu nhập thấp, công nhân khu công nghiệp giai đoạn 2021-2030” (đầu tư xây dựng khoảng 1.062.200 căn).
Để hoàn thành mục tiêu của cả Đề án, Chính phủ thống nhất chỉ đạo các cấp, các ngành, các địa phương phát triển nhà ở xã hội là nhiệm vụ chính trị quan trọng, thể hiện bản chất tốt đẹp của chế độ, gắn với mục tiêu phát triển kinh tế - xã hội, bảo đảm an sinh và ổn định đời sống Nhân dân. Huy động nguồn lực xã hội, đặc biệt là các doanh nghiệp bất động sản lớn, có năng lực, kinh nghiệm, trách nhiệm xã hội, đồng thời lựa chọn các địa phương lớn, có nhu cầu nhà ở xã hội cao để thực hiện.
Đến năm 2030, phải hoàn thành hoặc vượt chỉ tiêu đề ra đầu tư xây dựng ít nhất 01 triệu căn hộ nhà ở xã hội cho đối tượng thu nhập thấp, công nhân khu công nghiệp.
Chính phủ yêu cầu các địa phương căn cứ chỉ tiêu phát triển nhà ở xã hội được giao, thực hiện hoàn thành hoặc vượt chỉ tiêu để góp phần hoàn thành mục tiêu chung của cả nước.
Thanh Hóa được giao hoàn thành 6.250 căn giai đoạn 2026-2030
Đối với tỉnh Thanh Hóa, chỉ tiêu nhà ở xã hội phải hoàn thành trong cả giai đoạn 2025-2030 là 11.503 căn. Trong đó, chỉ tiêu của năm 2026 là 900 căn; năm 2027 là 1.000 căn; năm 2028 là 1.100 căn; năm 2029 là 1.150 căn và năm 2030 nhiều nhất với 2.100 căn.
Như vậy, từ nay đến hết năm 2030, tỉnh Thanh Hóa cần hoàn thành thêm 6.250 căn để “về đích” theo chỉ tiêu Chính phủ giao.
Ngày 12/1, UBND tỉnh Thanh Hóa tiếp tục có văn bản chỉ đạo tập trung triển khai và tháo gỡ khó khăn trong thực hiện các dự án nhà ở xã hội trên địa bàn. Tại công văn này, Phó Chủ tịch Thường trực UBND tỉnh Mai Xuân Liêm có ý kiến chỉ đạo cụ thể đối với một số dự án nhà ở xã hội đang triển khai trên địa bàn nhằm đẩy nhanh tiến độ, sớm hoàn thành dự án và đưa vào sử dụng.
Đồng thời, giao Sở Xây dựng chủ trì, phối hợp với các Sở: Tài chính, Tư pháp và các đơn vị liên quan tổ chức thực hiện đầy đủ nội dung chỉ đạo của Ban Thường vụ Đảng ủy UBND tỉnh, UBND tỉnh liên quan đến điều chỉnh danh mục các dự án nhà ở xã hội phải đấu thầu lựa chọn nhà đầu tư trên địa bàn tỉnh.


Nguyên Mai





Bình luận
Xin vui lòng gõ tiếng Việt có dấu