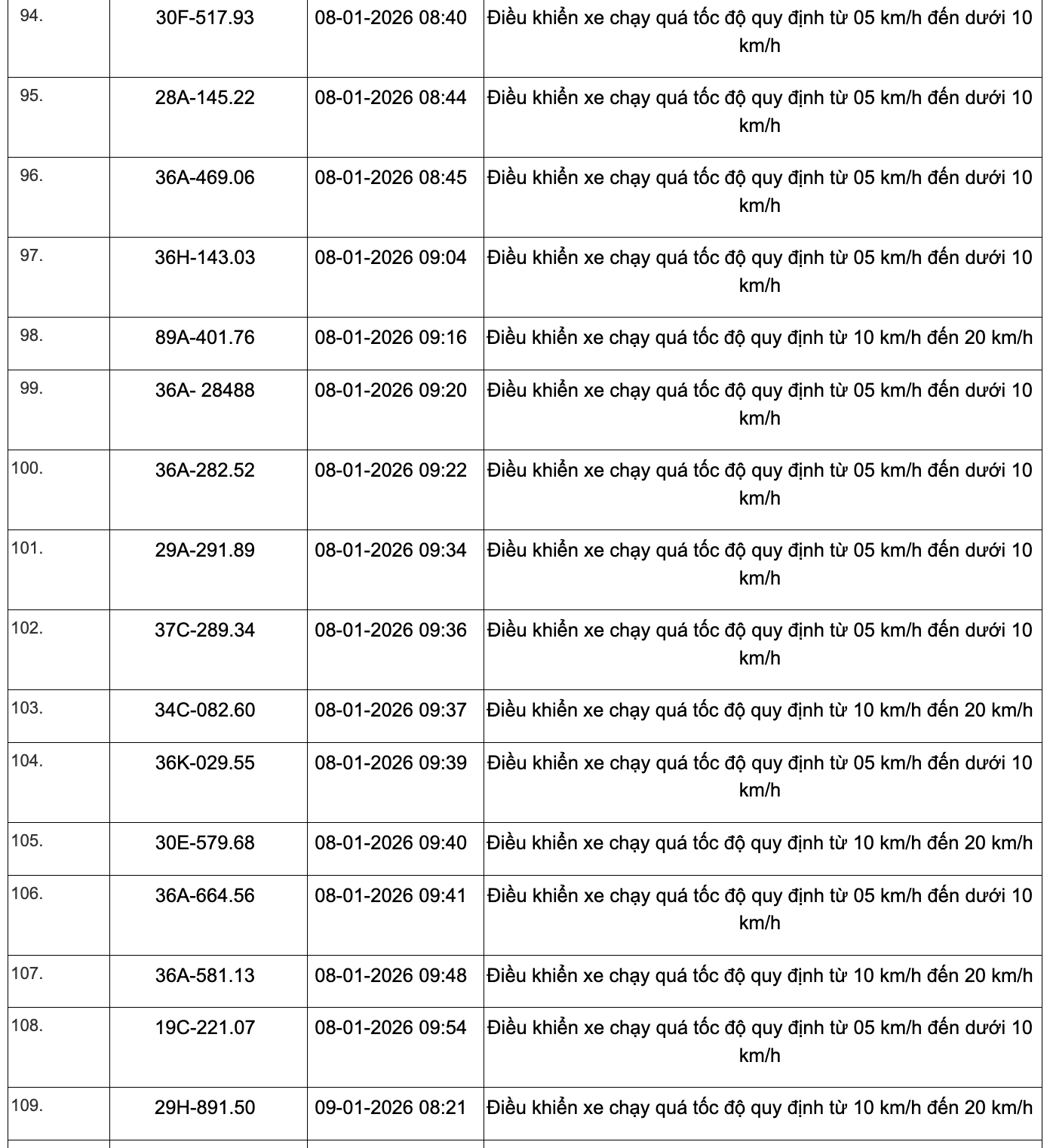
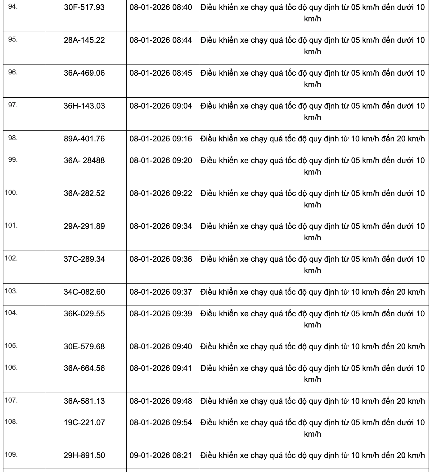
359 phương tiện vi phạm quy định về tốc độ trên các tuyến Quốc lộ
Thông tin từ Công an tỉnh Thanh Hóa, từ ngày 1/1 đến ngày 15/1/2026, thông qua thiết bị kỹ thuật nghiệp vụ, các tổ công tác của Phòng Cảnh sát giao thông đã phát hiện, ghi nhận bằng hình ảnh 359 trường hợp phương tiện vi phạm quy định về tốc độ trên Quốc lộ 1, Quốc lộ 45, Quốc lộ 47B.

79 trường hợp vi phạm trên tuyến Quốc lộ 1






205 trường hợp vi phạm trên tuyến Quốc lộ 45













75 trường hợp vi phạm trên tuyến Quốc lộ 47B





Trong thời hạn 10 ngày kể từ ngày vi phạm, Phòng Cảnh sát giao thông, Công an tỉnh Thanh Hoá sẽ gửi thông báo cho chủ phương tiện, tổ chức, cá nhân có liên quan đến vi phạm hành chính.
Sau khi nhận được thông báo, chủ phương tiện, tổ chức, cá nhân căn cứ địa chỉ cư trú ghi trên giấy đăng ký xe liên hệ đến các địa điểm: Bộ phận một cửa Công an tỉnh Thanh Hóa (số 01, Đỗ Huy Cư, phường Hạc Thành); Trụ sở Đội Cảnh sát giao thông số 3, Phòng Cảnh sát giao thông, Công an tỉnh Thanh Hóa (Km570+450 đường Hồ Chí Minh thuộc xã Sao Vàng) hoặc trụ sở Phòng Cảnh sát giao thông, Công an tỉnh (nơi cư trú) để giải quyết vụ việc.
Trong thời hạn 20 ngày kể từ ngày ra thông báo, thông tin vi phạm sẽ được đăng tải trên Trang thông tin điện tử của cục Cảnh sát giao thông. Để tra cứu phương tiện vi phạm, người dân có thể truy cập vào đường link sau đây và thực hiện theo hướng dẫn: https:www.csgt.vn/tra-cuu-phuong-tien-vi-phạm.html
NM (Nguồn: Công an tỉnh Thanh Hóa)





Bình luận
Xin vui lòng gõ tiếng Việt có dấu