Công thức thuế đối ứng của Mỹ được tính như thế nào?
Sáng 3/4/2025, Mỹ công bố mức thuế đối ứng với 180 nước trên thế giới với mức thuế rất cao. Bài viết này phân tích các yếu tố trong công thức tính thuế đối ứng của Mỹ và bình luận về tính khách quan, công bằng của công thức này.

Ảnh nguồn Internet.
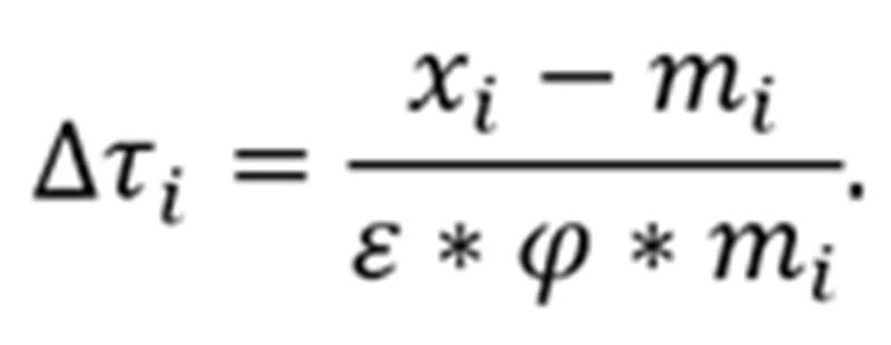
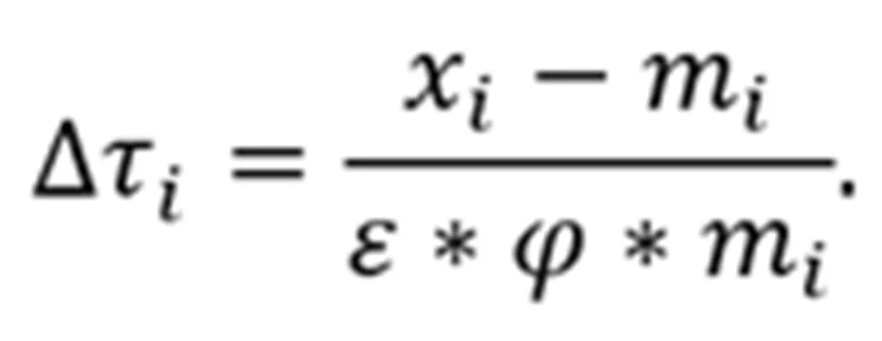
Lý giải cho việc tăng thuế lần này, cơ quan Đại diện Thương mại Mỹ (USTR) [1] đã đăng tải bài viết ngắn gọn về công thức tính thuế đối ứng của Mỹ như sau:

Trong đó:
∇Τι là sự thay đổi trong mức thuế suất mà Mỹ áp lên quốc gia i.
ε là hệ số co giãn của lượng nhập khẩu theo giá nhập khẩu, có giá trị âm mang ý nghĩa tỉ lệ nghịch với giá nhập khẩu: giá nhập khẩu tăng thì lượng nhập khẩu sẽ giảm và ngược lại.
φ là mức độ chuyển giá từ thuế quan sang giá nhập khẩu, có giá trị trong (0, 1]. Chẳng hạn φ = 0.5 nghĩa là 50% thuế quan là yếu tố thực sự làm tăng giá nhập khẩu.
mi là tổng giá trị nhập khẩu từ quốc gia i vào Mỹ.
xi là tổng giá trị xuất khẩu từ Mỹ vào quốc gia i.
Mục đích của công thức thuế trên đó là sau khi áp dụng mức thuế đối ứng mới, cán cân thương mại song phương giữa Mỹ và quốc gia i sẽ được cân bằng:

Mỹ chọn các tham số trên như thế nào?
Theo [1], giá trị và được tính toán từ số liệu thống kê về nhập khẩu, xuất khẩu của Mỹ và các quốc gia khác trong năm 2024. Hệ số ε được chọn là -4 theo các nghiên cứu được thực hiện bởi các tác giả trong nhiều năm (Broda and Weinstein 2006; Simonovska and Waugh 2014; Soderbery 2018). Hệ số φ được chọn là 0.25 dựa trên kinh nghiệm thực tế trong quá khứ mà Mỹ áp thuế lên Trung Quốc năm 2021 (Cavallo et al, 2021). Hệ số φ = 0.25 nghĩa là chỉ 25% thuế quan làm ảnh hưởng đến việc tăng giá nhập khẩu. Nói cách khác, việc tăng thuế ảnh hưởng không đáng kể đến sự tăng giá tiêu dùng của người dân Mỹ đối với các mặt hàng nhập khẩu.
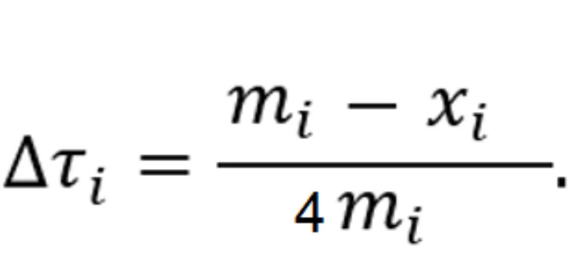
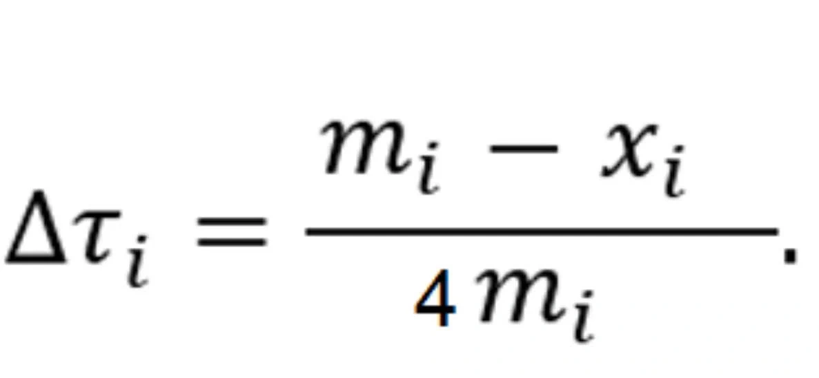
Tóm gọn, công thức cuối về thuế đối ứng của Mỹ là:

Sau đó, Mỹ lấy giá trị thuế trung bình bằng khoảng 50% giá trị của công thức trên.
Ví dụ: Năm 2024, Việt Nam xuất khẩu sang Mỹ khoảng 119,5 tỷ USD (= 119,5) và nhập khẩu khoảng 15,1 tỷ USD ( = 15,1) [2]. Mức thuế đối ứng theo công thức của Mỹ là:

Mỹ sử dụng số liệu thống kê của Cơ quan thống kê Mỹ (U.S. Census Bureau) thì giá trị trên là khoảng 90%. Do vậy, thuế đối ứng Mỹ áp đặt lên Việt Nam là: 46% (khoảng 1⁄2 của 90%).
Một số nhận xét:
- Mỹ xây dựng một công thức chung cho tất cả các quốc gia nên không thể công bằng và khách quan vì nền kinh tế của mỗi quốc gia có những đặc thù riêng (như hành lang pháp lý đối với sản phẩm của Mỹ, đánh giá môi trường, sự khác biệt về thuế suất tiêu dùng, rào cản và chi phí tuân thủ, chính sách tiền tệ và chống phá giá,...). Mỹ lấy lý do không thể xây dựng một mô hình thuế quan để mô phỏng tất cả các yếu tố phức tạp trên của từng nước nên đưa ra một công thức có giá trị tương đối, chung cho mọi quốc gia.
- Có nhiều nguyên nhân khiến thâm hụt thương mại không cân bằng, trong đó thuế quan và các yếu tố phi thuế quan cần được xem xét đến đầy đủ. Chẳng hạn, chiến lược các công ty công nghệ của Mỹ đặt nhà máy sản xuất ở Việt Nam, Trung Quốc, Ấn độ,... giúp giảm thiếu giá thành sản xuất, do đó bán được nhiều sản phẩm hơn, và thu về doanh thu tốt hơn, cuối cùng đóng thuế cho ngân khố Mỹ nhiều hơn.
- Nền kinh tế mỗi nước có đặc thù riêng phù hợp với thế mạnh của từng quốc gia. Do đó, không thể áp dụng khiên cưỡng cân bằng thương mại theo kiểu: Mỹ nhập khẩu giầy/da của Việt Nam thì Việt Nam cũng phải nhập khẩu giầy/da của Mỹ [3].
- Mỹ chọn giá thị tham số ε = -4 dựa vào các nghiên cứu được thực hiện trong các năm 2006, 2014, 2018 là quá cũ, không có tính cập nhật. Nghiên cứu năm 2014 sử dụng dữ liệu của 191 quốc gia trong năm 2004 [4], trong khi nghiên cứu gần nhất năm 2018 (Soderbery 2018) [5] sử dụng số liệu của các quốc gia trong giai đoạn 1991 - 2007.
- Mỹ chọn tham số φ = 0.25 dựa vào nghiên cứu thực hiện năm 2021 với Trung Quốc (Cavallo et al, 2021) cũng không có tính cập nhật. Hệ số này cho thấy việc Mỹ tăng thuế đối ứng ảnh hưởng ít đến xu hướng lạm phát của Mỹ. Tuy nhiên, nhiều chuyên gia nhận định ngược lại [6] và do vậy hệ số φ thực tế có thể lớn hơn nhiều. Nếu chưa có nghiên cứu nào có tính cập nhật hơn kết quả của Cavallo et al, 2021, chúng ta có thể chọn φ = 0.5 (giá trị kỳ vọng trung bình xác suất) và hệ số ε = -8 theo nghiên cứu trong [7] (Mỹ phớt lờ nghiên cứu này!). Khi đó, công thức thuế đối ứng sẽ là:

Nghĩa là, mức thuế đối ứng của Mỹ áp đặt cho Việt Nam sẽ giảm khoảng 4 lần so với mức 46%, tương đương khoảng 11,5%. Con số này rất gần với mức thuế thực tế hiện nay: trên thực tế, mức thuế nhập khẩu từ Việt Nam vào Mỹ hiện nay là khoảng 9,4%.
Nguồn tham khảo:
[1] https://ustr.gov/issue-areas/reciprocal-tariff-calculations
[4] https://www.sciencedirect.com/science/article/abs/pii/S0022199613000986
[5] https://www.sciencedirect.com/science/article/abs/pii/S0022199618300825
[7] https://onlinelibrary.wiley.com/doi/abs/10.1111/1468-0262.00352
PGS. TS. Phạm Thế Anh, Trưởng khoa KTCN&TT, Trường Đại học Hồng Đức





Bình luận
Xin vui lòng gõ tiếng Việt có dấu